財經廣告

白宮尚未解釋川普公佈圖表中 多項數據出入

【泰國新聞報導】在美國總統川普宣布對外實施「對等關稅」政策後,白宮隨後公佈一份附錄文件,列出各國所適用的對等關稅稅率。

然而,這份附錄中顯示,對超過14個國家的稅率數據存在明顯出入,與特朗普所展示的初始圖表相比,許多國家的關稅水平最初被低估。

因此,白宮方面已將相關國家的關稅數值上調1個百分點。截至目前,白宮尚未對這些數據不一致之處作出任何解釋或說明。

白宮網站發表附錄:泰國、印度、韓國等國關稅上調至37%

白宮網站近日公佈一份最新「對等關稅」附錄,顯示包括泰國在內的多個國家的關稅稅率已被上調1個百分點。泰國的關稅率從原先的36%提升至37%,與印度和韓國的調整幅度一致。

除了這三國外,其他關稅上調的國家還包括:菲律賓、南非、挪威、波札那、喀麥隆、馬拉威、尼加拉瓜、巴基斯坦、塞爾維亞、萬那杜,以及福克蘭群島等。

在東協國家中,泰國、緬甸和菲律賓各自面臨1%的關稅上調。而其他東協國家的關稅則維持不變,包括:

柬埔寨:49%
寮國:48%
越南:46%
印尼:32%
汶萊:24%
馬來西亞:24%
新加坡:10%

值得注意的是,原本在川普稍早發布的圖表中列出的全球180多個國家和地區,如今在附錄中卻遺漏一些海外屬地和自治地區,如留尼汪島(Réunion)和諾福克島(Norfolk Island)等未再出現在新名單中。

目前,這份附錄共列出了57個國家和地區。至今,白宮尚未對上述稅率修正或部分地區缺失做出詳細解釋。

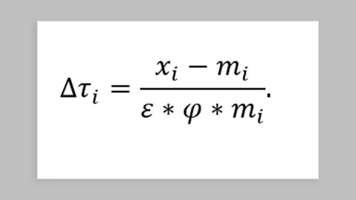
圖說:USTR解釋,ε和φ這兩個參數相乘的結果是1。這表示其計算方法非常簡單,就是將某國對美貿易順差除以其對美出口總額,得出一個比率,隨著再將該比率除以2,就得出相應的對等關稅稅率。


※※※ 未經授權 不得轉載 ※※※